Accurate nanomechanical characterization is essential for advancing surface science and materials research. In this article, Thomas Mathias, Roland Bennewitz, and Philip Egberts demonstrate a method based on short-time Fourier-transform analysis of atomic force microscopy thermal deflection signals.
The authors show that thermal fluctuations of AFM cantilevers can be quantitatively analyzed to extract mechanical properties with high precision. The method is validated on highly oriented pyrolytic graphite (HOPG), demonstrating reliable performance across a broad stiffness range. A range of NanoSensors AFM probes was used, including PPP-CONT AFM probe and TL-CONT AFM probe for low-stiffness measurements, and PPP-NCL AFM probe for higher stiffness applications. Additional probe configurations such as CDT-CONTR AFM probe and PtSi-CONT AFM probe enabled variation in tip material and interaction properties. Spring constants were determined using the Sader method, ensuring accurate calibration of each AFM probe.
This approach highlights the importance of selecting the appropriate NanoSensors AFM probe for quantitative nanomechanical measurements and demonstrates the robustness of thermal deflection analysis.

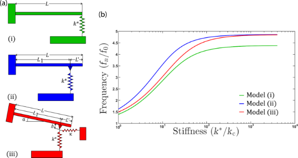
Figure 1: (a) Schematic diagrams of the cantilever models used in determining the dispersion curves to convert measured cantilever oscillation frequency to contact stiffness of the tip–sample contact. Three models are typically used. Model (i) shows the tip at the end of the cantilever, model (ii) shows the tip set back from the end of the cantilever, and model (iii) shows a cantilever tilted with respect to the surface and the tip set back from the end of the cantilever. L is the overall cantilever length, L′ is the distance that the tip is set back from the end of the cantilever, k* is the contact stiffness, α is the tilt angle of the cantilever with respect to the surface, h is the distance between the tip apex and the cantilever base, and κ = 8G*a ([23]) is the lateral stiffness of the tip–sample contact. (b) Dispersion curves providing a lookup table for the conversion of measured resonant frequency to tip–sample contact stiffness. Model (i) is shown in black, model (ii) in blue, and model (iii) in red.
Full citation:
Mathias, T.; Bennewitz, R.; Egberts, P.
Mechanical property measurements enabled by short-term Fourier-transform of atomic force microscopy thermal deflection analysis.
Beilstein Journal of Nanotechnology 2025, 16, 1952–1962.
https://doi.org/10.3762/bjnano.16.136
Attribution 4.0 International
By exercising the Licensed Rights (defined below), You accept and agree to be bound by the terms and conditions of this Creative Commons Attribution 4.0 International Public License (“Public License”). To the extent this Public License may be interpreted as a contract, You are granted the Licensed Rights in consideration of Your acceptance of these terms and conditions, and the Licensor grants You such rights in consideration of benefits the Licensor receives from making the Licensed Material available under these terms and conditions.
https://creativecommons.org/licenses/by/4.0/